咨询热线
0757-82255905不锈钢精密管缩口加工,是管坯端部通过缩口模具将其直径缩小的成型工艺。管坯在轴向力作用进入变形区,在变形区内产生切向收缩的缩口塑性变形,然后进入稳定区,最终形成缩小的端部直径。与缩口对应的是扩口工艺。
1、 不锈钢精密管的缩口形式
常见的不锈钢精密管缩口形式有:
2、 不锈钢精密管缩口成型的特点与变形程度
缩口工艺属于压缩类成型工序,其变形区的应力应变特点如上图1、2、3所示。缩口变形区受双向压应力的作用,变形程度受到失稳的限制。一般缩口的变形程度与材料的机械性能、厚度和模具的结构形式和材质表面质量有关。材料的塑性好、屈强比值打,允许的缩口变形程度打;材料越厚,抗失稳起皱的能力就越强,有利于缩口成形;采用内支承模具结构,口部不易起皱;合理模角、小的锥面粗糙度值和好的润滑条件,可以降低缩口力,对缩口成形有利。当缩口变形所需压力大于管壁材料失稳临界压力时,此时非变形区管壁将先失稳,也将限制一次缩口的极限变形程度。
3、 不锈钢精密管缩口工艺计算
不锈钢精密管缩口工艺计算包括,缩口次数及缩口系数的确定、毛坯尺寸计算、缩口力。
(1) 缩口次数及其所有系数确定
若不锈钢精密管的缩口系数m小于允许的缩口系数时,则需进行多次缩口,缩口次数n按下式计算。
多次缩口工序中第一道次采用比平均值m小10%的缩口系数,以后各道次采用比平均值m大5%~10%的缩口系数。考虑材料的加工硬化以及道次增加可能增加的生产成本等因素,缩口次数不宜过多。
(2) 毛坯尺寸计算
毛坯尺寸的主要设计参数是缩口毛坯高度H,按照上图1、2、3所示的不同缩口形式,根据体积不变条件,可得知如下毛坯高度计算公式:
斜口形式:
直口形式:
球面形式:
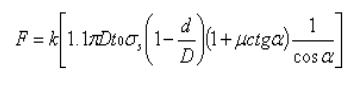
(3) 缩口力
只有外支承的缩口压力,可按下式估算。
4、 不锈钢精密管缩口模有哪些?
不锈钢精密管缩口工艺中,常用的缩口模结构形式主要有以下几种:支承成形缩口模、外支承成形缩口模、内外支承成形缩口模。为了成形一些特殊零件,还采用其他缩口方式进行缩口.如衬套缩口模、管子缩口模、局部加热缩口模等。采用局部加热进行缩口,可以得到很大的变形度。缩口模一般加工的零件多为旋转体,故通常是在压力机和液压压力机上进行,其生产效率较高。

缩口加工应用非常广泛,如军工应用、机械结构等等。对于细长管状类工件,用缩口代替拉伸效果可能更好。以上是不锈钢精密管缩口加工的所有信息,更多不锈钢精密管资讯,敬请继续关注罡正不锈钢。
其他资料:

版权所有© 一木久道综合热线 粤ICP备19066789号-1
电话:0757-82255905 手机:139-2315-7588 联系人:陈先生
传真: QQ:435562665 邮箱:[email protected]
地址:佛山市三水区西南街道洲边五村进港大道侧和坑1号2座
