咨询热线
0757-82255905加热盘管是在无缝金属管内(如铜管、不锈钢管)装入电热丝,空隙部分填满有良好导热性和绝缘性的氧化镁粉后缩管而成,再加工成用户所需要的各种型状。它具有结构简单,热效率高,机械强度好,对恶劣的环境有良好的适应性。体积小、功率大:加热盘器首要采用集束式管状电热元件。下面我们来看看不锈钢加热盘管技术标准。

1、范围
本标准规定了给水加热器用奥氏体不锈钢焊接钢管(以下简称钢管)的尺寸、外形、重量、技术要求、试验方法、检验规则、包装、标志和质量证明书。本标准适用于给水加热器用直管或U形奥氏体不锈钢焊接钢管。
2、外径壁厚
直管或U形管直段的外径和壁厚允许偏差应符合表1的规定。

3、弯管部分弯曲度
U形管弯管部分的椭圆度应符合表2的规定。

4、长度
(1)直管以定尺长度交货。钢管的具体交货长度由供需双方协商,并在合同中注明。
(2)直管或U形管直管部分的长度允许偏差应符合表3的规定。

5、弯曲度
直管或U形管直管部分的弯曲度应不大于1.5mm/m。
6、弯头平面度
在两个切点处测量的U形管弯头平面度(β,见图1)偏差应不大于1.5mm。
7、直管部分间距
实测直管部分间距(p)与理论值(2r+D)的允许偏差为士1.5mm。
8、端头外形
钢管的两端应与钢管的轴线垂直,对于外径不大于16mm的钢管,管端切斜应不大于0.25mm;外径大于16mm的钢管,管端切斜应不大于0.4m
9、工艺性能
(1)压扁测试
钢管应进行压扁试验。压扁试验时,焊缝应位于与施力方向成90°的位置。压扁试验按以下两步方法进行:
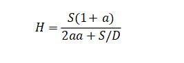
a)第一步是延性试验,将试样压至两平板间距为H。H按公式计算。试验后,试样上不允许出现目视可见的裂纹或裂口。

H——压扁后平行压板间距离,单位为毫米(mm);
S——钢管的公称壁厚,单位为毫米(mm);
a——单位长度变形系数,取0.09;
D——钢管的公称外径,单位为毫米(mm)。
b)第二步是完整性试验,压扁继续进行,直到试样破裂或试样相对两壁相碰。整个压扁试验中,试样不允许出现目视可见的分层、夹杂和未焊透。
(2)卷边测试
钢管应进行卷边试验。卷边宽度应不小于外径的15%,试验后,试样上不允许出现裂纹或裂口。
(3)反卷边测试
钢管应进行反向弯曲试验。从钢管上截取长度为100mm的一段试样,试样从焊缝两侧成90°位置沿纵向剖开,试样剖开后展平。
弯曲试验时,弯芯直径为4倍试样厚度,弯芯应紧靠并平行于外焊缝,使焊缝处于最大弯曲点。弯曲角度为180°。
弯曲后试样上不允许出现目视可见的裂纹或裂口。
10、表面质量
钢管的内外表面应光滑,不允许有错边、裂纹、咬边、折叠、扭曲、过酸洗、氧化皮。上述缺陷应完全清除,清除处的实际壁厚应不小于壁厚所允许的最小值,且清除处应圆滑过渡。
深度不超过壁厚负偏差的轻微划伤、压坑、麻点允许存在。
以上就是不锈钢加热盘管标准的一部分内容,详情请查看GB/T 4223-2010。如果想要了解更多罡正不锈钢资讯,敬请持续关注我们的更新!
相关资讯:

版权所有© 一木久道综合热线 粤ICP备19066789号-1
电话:0757-82255905 手机:139-2315-7588 联系人:陈先生
传真: QQ:435562665 邮箱:[email protected]
地址:佛山市三水区西南街道洲边五村进港大道侧和坑1号2座
